ついに来ましたこの話題!!
話には聞いていましたが、論文まだか!!と心待ちにしておりました!!
あのアダカラムが!?敗血症に適応!?とにわかには信じられませんでしたが、ここまで強力なResultと、保険適応・収載への速さを見るにつけ、そりゃそうなるわ…と思いました。
ただ筆者自身、まだ統計に疎いため、不勉強・不理解な部分もありますので、そこら辺を皆さんとディスカッション出来れば幸甚でございます。
では早速行きましょ!!アダカラムの新しい可能性の世界へ!!
Abstract
背景
敗血症の病態は、調節不全に陥った免疫反応、特に 好中球が関与する免疫反応に関連していると考えられている。 我々は、「おとり臓器」として顆粒球吸着カラムを開発した。このカラムは、体内の臓器で起こっている大規模な炎症を血液浄化カラムに移すものである。 この研究は、敗血症患者の治療における顆粒球単球吸着アフェレーシス-直接血液吸着法 (G1-DHP)の安全性と実験的有効性を評価するために、前向き多施設デザインを用いて実施された 。
方法
本研究では、敗血症と診断され、APACHE IIスコアが17~34の患者を対象とした。 G1-DHP が、患者登録後3日以内に計5回実施された。 主要エンドポイントは登録から7日後までの逐次的臓器不全評価(SOFA)スコアの変化であり、安全性エンドポイントは28日後の有害事象と死亡率であった。
結果
G1-DHP を82名の患者に施行した。 SOFAスコアの中央値(四分位範囲)は7日後に10(8-11)から4(3-7) (n = 70; p < 0.01)に減少した。 好中球を中心とする顆粒球が吸着され、好中球対リンパ球比 は有意に 改善した(p < 0.01)。 循環機能と腎機能のSOFAスコアにも顕著な改善がみられた。 死亡率を評価した77例の急性生理 および慢性健康評価IIスコア(The acute physiology and chronic health evaluation II score)は27点で、28日 死亡率は7.8%であった。
結論
本試験により、G1-DHP が標準的な敗血症治療レジメンの補助療法として安全に使用できることが確認された。 さらなる検討が必要であるが、G1-DHP は敗血症に対する有望な補助療法である。
Limitation
この研究にはいくつかの限界がある。
第一に、単一デザインであるため、 有効性の評価には限界がある。 敗血症は非常に異質な疾患であり、 効果が期待される特定の サブタイプにおける効果を評価する必要がある。 しかし、試験計画時には、G1-DHPの有効なサブタイプに関する情報がなかった。 重症度をAPACHE IIスコア 17-34の敗血症患者に限定することで、軽症例を除外することを目指した。 さらに、無作為割付に時間がかかると、抗生物質や輸液などの標準的治療の開始が遅れ、G1-DHPの治療時期が遅れる可能性がある。 そのため、本試験はG1-DHPの安全性評価と実験的効果に焦点を当てた 。SOFAスコアとNLRの改善がG1-DHPなし 、対照群がなかったため確認できなかった。 本試験における28日生存率は92%であった。したがって、患者のSOFAスコアが改善するのは当然のことである。したがって、本試験におけるSOFAスコアの改善は、G1-DHPの有効性を示す証拠とはならない。 G1-DHPの有効性を証明するためには、今後の研究において、より重症の患者や 、特定の臓器障害を有する患者に焦点を当てる必要があるかもしれない。
第二に、G1-DHP の有効性を単独で証明することはできなかった。ステロイド療法や血液浄化法 など、免疫系 に影響を与える治療を制限する必要があるからである。 しかし、重症患者の治療を制限することは不利になる可能性があるため、標準的な治療にG1-DHPを追加することで、総合的に評価することにした。
この研究では、 理論的には顆粒球を除去することによって改善されるであろう臓器障害指標を検討した。 しかし、対照群がなかったため、G1-DHP に特異的な臨床効果は確認できなかった。白血球の機能は、その表面抗原を調べることによって明らかにすることができる。 しかし、各施設で採血直後に細胞表面抗原分析を行うことは、 現実的ではないと判断した。
第四に、患者の背景を分析することにより、G1-DHP の最適なタイミングを明らかにしようと試みたが、決定することはできなかった。 しかし、今後の研究で 、有用な情報を提供できたと考えている。 今後の研究では、対照群と比較することにより、G1-DHP の特異的有効性 が明らかになるかもしれないし、 白血球表面抗原マーカーの分析により、有効性の根底にある機序についてさらなる洞察 が得られるかもしれない。
Chat-GPT 4oの所感
この論文は、敗血症患者に対する顆粒球・単球吸着療法(GM吸着療法)の実施可能性を検討したものですね。GM吸着療法は、過剰な炎症反応を抑制し免疫調整を図る目的で使用されることがあり、特に敗血症の管理において注目されています。
所感:
本研究が示すGM吸着療法の安全性や効果の兆候は興味深いものの、敗血症における標準治療と比較した際の優位性や、長期的な転帰への影響についてはさらなる大規模研究が必要と考えます。また、適応患者の選定基準や最適な治療タイミングに関する検討も重要な課題となるでしょう。
筆者的見解
皆さんは敗血症における血液浄化療法として何を思いつくでしょうか?PMMA?PMX?Sepxiris?
実はこれ、どれもエビデンスレベルは薄弱で、ガイドラインによっては「弱く行わない事を推奨する」なんてなっていたりもします。(https://onlinelibrary.wiley.com/pb-assets/assets/18833772/jja2s0025_JAAM-1717483165827.pdf のCQ.4 血液浄化)
つまり、血液浄化デバイスによって治療のアウトカムが変わるほどのエビデンスはない。ということです。
しかし、今回別の切り口から治療に参画するデバイスにより、敗血症に対する血液浄化の立ち位置はかなりの変革を強いられるのでないでしょうか。
というのも、従来の血液浄化ターゲットは「エンドトキシン・サイトカインの吸着」であり、所謂サイトカインストームの制御という観点から治療を行っていました。
しかし、今回は従来、潰瘍性大腸炎(以下、UC)に適応があったアダカラムの登場により「顆粒球・好中球の吸着」という切り口からの治療が始まり、その目標は過剰な炎症を抑制し、組織損傷を軽減することにあるということです。
主なポイントとして
- SOFAスコアの改善: 7日後の中央値で6ポイントの低下が確認され、特に循環・腎機能が改善
- 好中球吸着とNLRの低下: 炎症応答のバランスを整える可能性
- 死亡率の低下: 28日後の死亡率は7.8%と比較的低い(ただし対照群がないため効果の確証は不十分)
本研究の結果から、G1-DHPが敗血症に対する補助療法として有望であることが示唆されますが、標準治療に対する優位性や最適な適応条件を明確にするためのさらなる大規模試験が必要 です。
あとがき
はい!!という訳で、今回は個人的に大注目しているアダカラムの敗血症適応に関する論文をご紹介しました!!いやー論文翻訳楽しかったというか、わくわくしましたわwww
正直、論文翻訳するまでは、「PMXと同じ感じだろーどうせ。」とか思ってたんですよ。だってというか、PMXの効果で保険適応になるんだったら、ちょっとでも既存治療から有意差が出れば認可出るでしょう。という認識でした。
が、蓋を開ければあらビックリ!SOFAscoreはガクンッと下がり、その内訳である臓器別SOFAscoreも有意差を以て減少していることが証明されています。
臓器別指標の項目でも、昇圧剤の使用量は僅か0.1γという量ではありますが、それが有意差も以て7日目までに87.2%(68/78)の患者で投与が不要となったとあります。PMXの時はどうだったのでしょうか。
他にも示されているデータはありますが、それは翻訳全文に譲りたいと思いま~す!
というわけで、ゼーゼー病み上がりの身体に鞭打ちながら記事を仕上げました!!
よければ翻訳全文も皆様目を通してくださいね!!(あれ地味に毎回全文修正してるんすよ・・・
では今回もこのくらいで!!
まったねー!!
翻訳全文
Granulocyte and Monocyte Adsorption Therapy in PatientsWith Sepsis: A Feasibility Study
敗血症患者における顆粒球および単球吸着療法: フィージビリティー・スタディー
Osamu Nishida1 | Tomoyuki Nakamura1 | Takaaki Nakada2 | Gaku Takahashi3 | Yoshiki Masuda4 |Hiroki Tsubouchi5 | Yasuyuki Kakihana6 | Yuichiro Sakamoto7 | Osamu Takasu8 | Hiroyuki Suzuki9 | Koichi Nakazawa10 |Iwao Kobayashi11 | Kent Doi12 | Sohta Uchiyama13 | Nobuya Kitamura14 | Toru Kotani15 | Naohide Kuriyama1 |Noriyuki Hattori2 | Yasushi Suzuki3 | Hiroomi Tatsumi4 | Kazuhiro Moriyama16
Correspondence: Kazuhiro Moriyama (anbix55@gmail.com)
Received: 5 October 2024 | Revised: 25 November 2024 | Accepted: 23 December 2024
Funding: This work was supported by the JIMRO CO. LTD.
Keywords: adacolumn | cytokine | hemoadsorption | neutrophils | sepsis | sequential organ failure assessment
ABSTRACT
背景 敗血症の病態は、調節不全に陥った免疫反応、特に 好中球が関与する免疫反応に関連していると考えられている。 我々は、「おとり臓器」として顆粒球吸着カラムを開発した。このカラムは、体内の臓器で起こっている大規模な炎症を血液浄化カラムに移すものである。 この研究は、敗血症患者の治療における顆粒球単球吸着アフェレーシス-直接血液吸着法 (G1-DHP)の安全性と実験的有効性を評価するために、前向き多施設デザインを用いて実施された 。
方法 本研究では、敗血症と診断され、APACHE IIスコアが17~34の患者を対象とした。 G1-DHP が、患者登録後3日以内に計5回実施された。 主要エンドポイントは登録から7日後までの逐次的臓器不全評価(SOFA)スコアの変化であり、安全性エンドポイントは28日後の有害事象と死亡率であった。
結果 G1-DHP を82名の患者に施行した。 SOFAスコアの中央値(四分位範囲)は7日後に10(8-11)から4(3-7) (n = 70; p < 0.01)に減少した。 好中球を中心とする顆粒球が吸着され、好中球対リンパ球比 は有意に 改善した(p < 0.01)。 循環機能と腎機能のSOFAスコアにも顕著な改善がみられた。 死亡率を評価した77例の急性生理 および慢性健康評価IIスコア(The acute physiology and chronic health evaluation II score)は27点で、28日 死亡率は7.8%であった。
結論 本試験により、G1-DHP が標準的な敗血症治療レジメンの補助療法として安全に使用できることが確認された。 さらなる検討が必要であるが、G1-DHP は敗血症に対する有望な補助療法である。
臨床試験登録:jRCT1080225183(日本臨床試験登録識別子)
1|はじめに
敗血症は集中治療室における主要な死因である。 ICUと敗血症管理における最近の進歩にもかかわらず、 死亡率は依然として高い。 敗血症による死亡者数は年間約1,100万人で、全世界の死亡者数の約20%を占める[1]。 敗血症の病態生理には、白血球、血小板、内皮細胞、補体系の間の多くの複雑な細胞および生化学的相互作用が関与しており、これらが炎症反応を引き起こす [2]。 しかし、 敗血症の定義が示すように、敗血症の際の調節障害・宿主反応の主役は、好中球などの免疫細胞と、これらの細胞によって産生されるメディエーターである[3]。 敗血症の補助療法として、体外血液浄化法 が提案されている。 これらの技術は、エンドトキシンなどの細菌毒素や炎症性メディエーターを除去することで、敗血症に関連する、大規模な全身性炎症反応を減衰させ、罹患率や死亡率を低下させることができるという原理に基づいている。 最も広く研究されている治療法は、ポリミキシンB固定化ファイバーカラム(PMX)を用いたエンドトキシン吸着である[4]。 その他に報告されている血液浄化装置 、サイトカイン吸着カラム[5]やヘモフィルター [6, 7]などがある。 血液浄化法が利用可能であるにもかかわらず、その治療効果のエビデンスは限られている。このため、敗血症の治療は、メディエーターに対抗するには不十分であると考えられており、免疫細胞を標的にするという考え方も提案されている[8, 9]。 自然免疫の主役である好中球は、敗血症の間、 寿命が延長し[10]、血流中 を長期間循環するため、組織損傷やその他の好ましくない影響が持続する[11]。 そこで、顆粒球および単球吸着カラム(G-1: 市販のアダカラムと同等、JIMRO株式会社、群馬県)を用いた血液浄化が有効であるとの仮説を立てた。 G-1:市販のアダカラムと同等、株式会社JIMRO、群馬県)を用いた血液浄化が、敗血症の治療に有効であると考えられた。 G-1 direct hemoperfusion (G1-DHP) のコンセプトは、顆粒球・単球吸着 カラムを「おとり臓器」として使用することである。 このアプローチは、体内の臓器における大規模な全身性炎症を 「アダカラムデコイ臓器」に再配置することを意図している。 従って、血液中の好中球の活性が弱まり、その結果、臓器の損傷を防ぐことができると期待される[12]。 我々は、敗血症の際の顆粒球と単球に対するアダカラムの効果 を、ex vivo [13] や動物実験 [14] で確認し、報告してきた。 この研究は、ICUに入院した敗血症患者を対象に、標準的な療法に加えて、G1-DHPの安全性と試験的有効性を評価することを目的とした。
2| 患者と方法
2.1 試験デザイン
本試験は、前向き、多施設、単臨床 。 この試験 のプロトコールは、参加した各施設の倫理委員会によって承認され、関連する施設審査委員会が定めたガイドライン に従って実施された。この試験を実施する間、ヘルシンキ宣言の原則およびGood Clinical Practiceガイドラインを遵守した。すべての患者またはその法的代理人には、本研究に参加する前に、文書によるインフォームド・コンセントを行った。
2.2|患者の選択
敗血症患者は事前に定義された組み入れ基準( )に従って特定され、ICU( )入室後24時間以内に本研究に登録された。 参加者は、 以下の基準をすべて満たした患者である: (1) Sepsis-3 定義[3]に従って敗血症と診断された、(2) 年齢が18~85歳、 (3) acute physiology and chronic health evaluation (APACHE) II スコアが17~34 [15]。 以下の患者は除外された: (1) 3日以内に死亡すると予測される患者、(2) 感染巣除去のための外科的処置を 受けていない患者、(3) 過去1年以内に臓器移植を受けた患者、 (4)ヒト免疫不全症 ウイルスまたはヒトTリンパトロピック ウイルスI型感染が疑われる患者、 (5)免疫不全症の長期治療を受けている患者。
免疫不全症の治療を受けている患者、 (6)G-1の使用により出血傾向が高まったと判断された患者、 (7)白血球数が4000個/mm3未満の患者、 体外膜酸素療法を受けた患者。 敗血症の標準的治療に支障をきたすような 、 。
2.3|G-1 投与の手順
G1-DHP は患者登録後3時間以内に開始された。 各使用 、一般に血流速度50mL/min、120分 (処理血液量は6000mL)に設定され、 、3日以内に5本のカラムを使用することをガイドラインとした。 2回目は1回目の使用から12時間後(±6時間後) 、3回目は1回目の使用から24時間後(±6時間後) 、4回目と5回目は前回の使用から24時間後(±6時間後) 。
2.4 データ収集
インフォームド・コンセントを得た後、年齢、性別、APACHE IIスコア、感染部位、敗血症の治療、G1-DHP 中の腎代替療法に関するデータを収集した。 臨床データ 、登録後ベースライン、3日目、7日目に記録された。 これには、逐次臓器不全評価(SOFA) スコア、血清中の乳酸値、インターロイキン(IL)-6、 IL-8、 IL-10、 high mobility group box-1 protein (HMGB-1), C-reactive protein, fibrin degradation products (FDP), and D-dimer. 尿中好中球ゼラチナーゼ関連リポカリン(NGAL) レベル、時間尿量、SOFAスコア算出のための生化学的検査 、 全血球数、好中球対リンパ球比(NLR)、急性腎障害(AKI)の重症度分類(Kidney Disease: Improving Global Outcomes (KDIGO) stage) [16]、急性 DICの診断基準に基づく播種性血管内凝固 (DIC)スコア [17] 、 酸素分圧と酸素吸入濃度の比(PaO2/FIO2)、平均動脈圧(MAP)、ノルエピネフリン相当量、血管圧迫薬の投与量も収集した[18]。 ベースライン時と7日目に尿中NGAL とHMGB-1 レベルを測定した。 ICU入室後28日目における人工呼吸器なしの日数 、ICU入室後28日までのICU滞在日数、28日間の転帰も記録した。
2.5 エンドポイント
有効性の主要評価項目は、生存患者における 登録後 7 日目の SOFA スコア(delta SOFA スコア)の変化とし、目標値は 2 ポイント未満の低下とした。 安全性の主要評価項目は、登録後28日間の死亡率とした。
副次的評価項目は、 G1-DHPの 第1ラウンドにおけるG1吸着材への白血球の 吸着率と数 、 好中球数、 リンパ球数、NLRの7日間の変化であった; 臓器特異的 SOFAスコア、様々な 臓器特異的指標、乳酸値、血清サイトカイン値、 血行動態の時間的変化、有害事象の発生率 。 臓器別 SOFAスコアを評価するために、持続的腎代替療法(CRRT)の影響も考慮し、 CRRT併用の有無で スコアを評価した。
血行動態は、MAPおよび ノルエピネフリン当量・血管圧迫薬の投与量を用いて評価し、腎機能は、KDIGO病期、血清クレアチニン、尿量、尿中NGAL値の変化を用いて評価した。 重症度(ステージ1、2、3)に応じて生存率が 、ステージの進行も確認された[19]。 ベースラインの尿量データは必ずしも入手できなかったため、1日目から7日目までの1時間ごとの尿量の変化を評価した。 凝固 、DICスコアを用いて評価した。DICスコアは、全身性炎症反応症候群の有無 、血小板の数と減少の程度 、プロトロンビン時間比、FDPに基づいて算出される。 呼吸機能は、PaO2/FIO2比を用いて評価した。 乳酸値、血清サイトカイン、FDP、 Dダイマーレベルの変化は、ベースライン値に基づいて患者を 高値群と低値群に分けて評価した。 さらに、高乳酸値の患者数の増加、 DIC合併が確認された。 さらに、28日後の人工呼吸器なし日数(非生存者 は死亡日でカウント) とICU滞在日数(非生存者 は28日でカウント)が記録された。
3|結果
3.1 実現可能性
この研究では、日本の15の病院から83人の患者が参加し、82人の患者にG1-DHP が実施された。 ICU 医師、臨床工学技士、看護師を含む医療スタッフは、合併症なくG1-DHP を行うことができ、その他の有害事象 技術的事象はなかった。 G1-DHP 、他の腎代替療法との併用が行われた。
他の腎代替療法との併用は52.4%の患者で行われ、問題は報告されていない。 返血時にカラム内部で凝固が観察された症例が1例あったが、 製品の欠陥ではなく患者由来と考えられ、有害事象はなかった。血小板数はベースライン時の118.5×103/μL(56.8×103/μL-162.5×103/μL)から、 3日目には58.5×103/μL(35.0×103/μL-107.3×103/μL)に減少したが、154.0×103/μL(84.0×103/μL-244.8×103/μL)であり、ICU入院時より有意に高かった(p<0.01)(表1)。 重篤な有害事象は 、10例(12.2%)に報告された。 このうち、肺炎、急性胆嚢炎、アナフィラキシー反応(3例、3.7%) 、G1-DHPとの関連を否定することはできなかった。
3.2|患者の特徴
患者のベースライン特性を表2に示す。 患者の内訳は、男性47人(57.3%)、女性35人(42.7%)、年齢中央値は72歳(62-76歳)、APACHE IIスコア は27点(23-30点)であった。 患者71人が28日間生存を達成し、6人が死亡した(7.8%)
PMX-DHPは非サバイバーに多く使用されたが、他の治療 の条件では、サバイバーと非サバイバーとの間に差は認められなかった。
3.3|G1-DHP
実施状況 82例のうち、78例が少なくとも1回のG1-DHPを完了した。57例(69.5%)が5回のG1-DHPを完了し、平均 4.4±1.20回であった。
77例(93.9%)でメシル酸ナファモスタット、4例(4.9%)でヘパリン 。 活性化部分トロンボプラスチン時間が延長したため、 抗凝固薬を使用しなかった患者が1例(1.2%)いた。 5人の患者が参加を中止した。
3.4| 評価結果
3.4.1| 主要評価項目: デルタSOFAスコア
ベースラインから7日目まで、SOFAスコアの有意な減少が観察された。7日目のSOFAスコアデルタは-5(-7、-3) (p <0.01)であった(表1、図1)。 SOFAスコアに用いられた70例のうち、 2例が7日目以降に死亡した。
3.4.2| 白血球の吸着率と数、G1-DHPへの吸着数
G1-DHP 1回の使用で吸着した顆粒球数は6.50×109(4.49×109-7.66×109)、吸着率 は10.7%(6.2%-14.6%)であった。吸着した単球数は0.12×109(0.00-0.34×109)であり、吸着率は 10.4%(0.0%-20.4%)であった。 リンパ球の吸着数は 0.01×109 (0.00-0.24×109)、吸着率は0.6% (0.0%-8.1%) であった。
3.4.3 好中球、リンパ球、およびNLR
好中球数はベースラインの 13.58 × 103/μL(8.53 × 103-20.11 × 103)から7日目には9.34 × 103/μL(6.44 × 103-12.93 × 103)に有意に減少した(p < 0.01)。 逆に、リンパ球 数は、ベースラインの0.58 × 103/μL (0.22 × 103-0.85 × 103)から、 7日目には0.91 × 103/μL(0.54 × 103-1.24 × 103)へと有意に増加した(p < 0.01)(表1、図1)。 ベースライン時のNLRは30.00 (12.28-47.00)であったが、Day 3には11.15(7.73-22.5)に有意に減少し、Day 7には9.88(6.05-17.60)にさらに有意に減少した(p < 0.01)(図1)。 好中球数のデータに使用された65例のうち、 2例が7日目以降に死亡した。
3.5|臓器別SOFAスコア
臓器別 SOFAスコアのベースラインから 7日目までの変化は、中枢神経系 (-0.6±1.50)(p < 0.01)で有意な減少を示した。01)、呼吸器(-0.4±1.23)(p<0.05)、 心血管系(-2.8±1.34)(p<0.01)、腎臓(-0.6±1.37) (p<0.01)、凝固(-0.3±1.20)(p<0.05)の臓器で有意な減少がみられた。 臓器機能障害の改善度(ベースライン時および7日目における ゼロスコアの割合は、他の臓器よりも高かった。
心血管系の改善度は10%から 70%、腎臓の改善度は20%から50%であった(図2)。 肝臓のスコアに変化はなかった。 デルタSOFAスコアは、CRRTを併用した患者(-3.52±4.55)と併用しなかった患者(-3.52±4.55)で有意な低下を示した。
デルタSOFAスコアは、CRRTを併用した患者(-3.52±4.55)と、 CRRTを併用しなかった患者(-5.72±3.35)で有意な減少を示した(いずれもp<0.01)。 腎臓SOFA スコアの変化も、 CRRTを併用した患者(-0.65±1.47)とCRRT を併用しなかった患者(-0.59±1.28)で有意な減少を示した(いずれもp<0.01)。
3.6|臓器別指標
MAPはベースラインから3日目(p<0.05)まで有意に上昇した。 ノルエピネフリン等価バソプレッサー投与量 は、7日目までに0.000μg/kg/分へと有意に減少した(p < 0.01)。 KDIGOステージは、ベースラインから7日目までに3(2-3)から 1(0-3)へと有意な変化を示した(p < 0.01)。 評価可能であった78例の患者のうち、AKIと診断された患者は69例から40例に減少した(p<0.01)。 血清クレアチニン は1.67mg/dL(1.18mg/dL-2.91mg/ dL)から0.90mg/dL(0.59mg/dL-1.56mg/dL)に有意に減少した(p < 0.01)。1日目の1時間尿量をKDIGO尿量基準で割ると、89.9mL/h(54.8mL/h-174.7mL/h) 、74.5mL/h(48.0mL/h-91.2mL/h)に減少した。 2 mL/hであったが、2-3点 群(20例)では、15.7 mL/h (4.4 mL/h-25.8mL/h)から56.4 mL/h(13.3 mL/h-122.6mL/h) 、7日目に有意に増加した(p<0.01)。 PaO2/FIO2比は、 7日目に284.0(180.8-400.8)から363.3(287.7-410.6)に有意に増加した(p < 0.01)。
3.6.1|炎症性 凝固関連 テスト
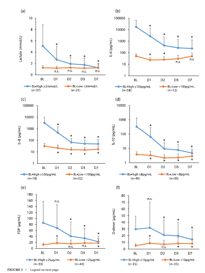
乳酸値はベースラインの 2.60 mmol/L(1.47 mmol/L-4.41mmol/L)から7日目には1.00 mmol/L (0.86 mmol/L-1.31mmol/L)へと有意に減少した(p <0.01)(表1)。 DIC(スコア4以上)患者48人のうち、 乳酸値が高い(4mmol/L以上)患者数はベースライン時で21.8%(17/78人)であったが、3日目には2.9%(2/70人)、7日目には1.7%(1/58人)と減少した。 血小板数は7日目に 、有意な増加を示した(表1)。 IL-6、 IL-8、 IL-10、 FDP、D-ダイマーについて、ベースラインから7日目までの推移を、 高値群と低値群に分け、 高値群ではすべての指標が有意に低下していた (図3)。 HMGB-1 レベルは、ベースラインの3.20 ng/mL(2.20 ng/mL-4.53 ng/mL)から、7日目には1.95 ng/ mL(1.40 ng/mL-2.83 ng/mL)へと有意に減少した(p <0.01)。
3.6.2 安全性の評価
G1-DHP が使用された82例のうち、77例は28日目まで観察され、APACHE IIスコアは27であった。 目標であったSOFAスコアの減少が2 以上であった群(62例)では、死亡は観察されなかった。 一方、SOFAスコアの減少が2点未満のグループ(15人)では、6人(40.0%)が死亡した。
||考察
アダカラムは、顆粒球や単球の過剰な炎症反応を抑制する医療機器として開発された。 潰瘍性大腸炎の寛解を目的として、1999年に日本での使用が承認された。 以来、国内・海外では臨床現場で使用されている。 潰瘍性大腸炎の治療におけるアダカラムの実施条件は、1回30mL/min、60分となっている。 しかし
敗血症はより高度な急性炎症を特徴とし、早期の集学的治療が要求されるため、我々は 、G1-DHPの1回の使用で全循環血液量(約 6000mL)を処理することを目指した。 ブタのリポポリサッカライド炎症 モデルを用いて、血流量と灌流時間を検討した結果、 30~60 mL/分、2時間の投与条件で、 白血球の吸着特性や生体適合性に悪影響がないことが確認された[14]。 これらの結果 に基づき、本研究における血流速度および灌流時間は 50 mL/分、120 分とした。
SOFAスコアが2以上低下することが、敗血症患者の生存と関連するとの報告に基づき、 [20, 21]、本研究の目標は、 SOFAスコアがベースラインから7日目までに2以上低下することであった。 この研究では、ベースラインから7日目まで 、SOFAスコアが-5(-7、-3)(p <0.01)という有意な減少が観察された。 本試験の多くの患者は、サイトカイン吸着特性を有する膜による治療を受けていたため、サイトカイン濃度およびSOFAスコアの変化 、CRRTに起因する可能性があった。 そこで、患者を 、2群に分けた: G1-DHP withCRRT(n = 47)とG1-DHP withoutCRRT(n = 23)である。 G1-DHP CRRTなし 群では、ベースラインから7日目まで、 IL-6、 IL-8、 および IL-10 レベルが有意に低下した(すべてp< 0.01) SOFAスコアも、 CRRTの有無にかかわらず有意に改善した(p <0.01)(図4)。 SOFAスコアが2以上低下した患者62人では死亡は観察されなかったが、SOFAスコアが2未満に低下した患者15人のうち6人(40.0%)が死亡した。これらの結果は、SOFAスコアが2低下すると、28日後の転帰に影響を及ぼす可能性があることを示唆している。
一方、リンパ球の吸着はごくわずかであった。 血液がG-1を通過すると、 免疫グロブリン(IgG) と血液中の不活化補体-3b (iC3b)がセルロースアセテートビーズに吸着される。そして、IgGとiC3bに対するFcγレセプター(FcγR)と補体レセプター 3を持つ顆粒球と単球が吸着除去される[22]。 好中球の数は有意に減少し、リンパ球の数 は有意に増加した。 NLRは7日目までに、有意に改善した(表1、図1)。 リンパ球数は敗血症の間しばしば減少し、非生存者では リンパ球数の減少が持続し、0.7×103/μLを超えると回復しないという報告がある [23]。 この 、ベースラインのリンパ球数は0.58×103/μL(0.22×103/μL-0.85×103/μLであったが、7日目には0.91 ×103/μL(0.54×103/μL-1.24×103/μL)と有意に増加した(p < 0.01)。リンパ球数の増加のメカニズムは不明である。しかし、G1-DHP を使用してから7日目 までに、87.2%の患者がリンパ球数を減少させる副作用のあるノルエピネフリンを必要としなくなったことと関係があるかもしれない。 NLRも同様の指標であり、最近のメタアナリシス 、 NLRのカットオフ値が10になると敗血症の死亡率が上昇することが確認された。敗血症が改善するとNLRは低下する [24]が、死亡する患者のNLRは高いままである[25]。 本試験におけるベースラインのNLRは30.00であったが、G-1 を5回使用した後の3日目には11.15まで有意に減少し、7日目には9.88となった。 G1-DHP は、好中球を中心とする顆粒球を除去し、 NLRに影響を与える、敗血症 に対する初めての治療法である。 このことが、リンパ球数の一時的な増加による生存率 の改善に寄与している可能性がある。
敗血症の際には炎症性メディエーターが産生され、好中球が血管内皮細胞に接着し、 血管透過性の亢進と血管拡張を引き起こす。 その結果、循環血液量( )が相対的に減少するため、 血圧が低下する [26]。 この研究では、MAPはベースラインから3日目まで 6.1mmHg上昇した。 したがって、この研究では、 、G1-DHP をノルエピネフリン投与速度 0.1μg/kg/分まで使用した場合、7日目までに87.2%(68/78)の患者で投与が不要となった 。
敗血症の治療に投与されるノルエピネフリンもまた、 、血液中のリンパ球数を減少させ、 免疫を抑制し [27] 、微小循環を障害し、 臓器の血流を減少させることが知られている [28] 。 ノルエピネフリン の早期中止が、リンパ球数の増加による免疫不全 からの回復と、微小循環の改善による 臓器機能不全からの回復に寄与している可能性がある。 KDIGOステージは3日目に改善した(中央値3(2,3)→3(0,3)、p <0.01;平均値2.36±1.01→1.84±1.37、p< 0.01)、血清 クレアチニンも3日目に有意に改善した(1.67mg/dL→ 0.85mg/dL;p < 0.01)。 腎SOFAスコアはCRRTの有無にかかわらず有意に改善した
NGALは腎尿細管細胞によって産生されるバイオマーカーであり、 尿中NGAL高値は死亡率と関連している。 最近のメタアナリシスでは、リスク検出のためのカットオフ値が580ng/mLと報告されている[29]。 この研究では、ベースラインの尿中NGAL値は高値であった (782ng/mL)。 しかし、敗血症性AKIでは、長期間の上昇(ベースライン: 552 ng/mLから3日目: 751 ng/mL)が報告されている。 AKI中の近位尿細管損傷は、腎臓への好中球浸潤によって引き起こされることも示されている( )[31]。 この研究では、69人の患者(88.5%)がAKIと診断されたが、7日目には40人(52.6%)に改善した。 これらの結果は、G1-DHP が尿細管障害を軽減する可能性を示唆している。 これらの結果から、G1-DHP は敗血症性AKIの治療に考慮されるかもしれない。
敗血症の非生存者はIL-6 の高値が長く続くが、この研究ではIL-6 の高値群はベースラインから1日目まで約10分の1の減少を示した。
敗血症性DIC患者の死亡率は高く、乳酸値が高い患者はリスクが高い。 この研究では、DIC スコアは4(3-5)から2(1-4)へと有意に改善した。 敗血症性DIC患者の28日死亡率は4.3%(2/47 )であり、長谷川ら [32]の報告より低かった。 DICで血中乳酸値が高い患者17例 (> 4 mmol/L) [32] は、3日目に2例、7日目に1例 に減少した。 G1-DHP は、大量の炎症、凝固異常、微小循環障害に関する検査データを相対的に改善した。敗血症の治療中、炎症、輸血、体外循環などにより、血小板数が減少することが知られている。 この研究では、 3日間の経過で血小板数の減少も観察された。 これらの症例は偽陽性である可能性があるので注意すべきである。
DICと診断される可能性がある。
G1-DHP 処置の最適なタイミングを決定するのは難しかった。 この研究では、G1-DHP は、ノルエピネフリン投与量 > 0.1μg/kg/分、リンパ球数 < 1000/μL、NLR > 10、乳酸値 > mmol/Lといった、 死亡率と生存率を分ける境界線の前後に適用すると、検査値指数を改善できることが示された。1μg/kg/分、KDIGOステージ3、リンパ球数<1000/μL、 NLR>10、乳酸値>2mmol/Lなどである。我々の知る限り、この敗血症患者におけるG1-DHP の安全性と実験的有効性を証明した最初の研究である。 好中球は敗血症の病態生理学において重要な役割を担っている可能性があり、顆粒球吸着カラムを “おとり臓器”として用いて好中球を引き寄せるという我々の戦略は、 臓器機能不全の軽減に貢献した可能性がある。
この研究にはいくつかの限界がある。 第一に、単一デザインであるため、 有効性の評価には限界がある。 敗血症は非常に異質な疾患であり、 効果が期待される特定の サブタイプにおける効果を評価する必要がある。 しかし、試験計画時には、G1-DHPの有効なサブタイプに関する情報がなかった。 重症度をAPACHE IIスコア 17-34の敗血症患者に限定することで、軽症例を除外することを目指した。 さらに、無作為割付に時間がかかると、抗生物質や輸液などの標準的治療の開始が遅れ、G1-DHPの治療時期が遅れる可能性がある。 そのため、本試験はG1-DHPの安全性評価と実験的効果に焦点を当てた 。SOFAスコアとNLRの改善がG1-DHPなし 、対照群がなかったため確認できなかった。 本試験における28日生存率は92%であった。したがって、患者のSOFAスコアが改善するのは当然のことである。したがって、本試験におけるSOFAスコアの改善は、G1-DHPの有効性を示す証拠とはならない。 G1-DHPの有効性を証明するためには、今後の研究において、より重症の患者や 、特定の臓器障害を有する患者に焦点を当てる必要があるかもしれない。 第二に、G1-DHP の有効性を単独で証明することはできなかった。ステロイド療法や血液浄化法 など、免疫系 に影響を与える治療を制限する必要があるからである。 しかし、重症患者の治療を制限することは不利になる可能性があるため、標準的な治療にG1-DHPを追加することで、総合的に評価することにした。 この研究では、 理論的には顆粒球を除去することによって改善されるであろう臓器障害指標を検討した。 しかし、対照群がなかったため、G1-DHP に特異的な臨床効果は確認できなかった。白血球の機能は、その表面抗原を調べることによって明らかにすることができる。 しかし、各施設で採血直後に細胞表面抗原分析を行うことは、 現実的ではないと判断した。 第四に、患者の背景を分析することにより、G1-DHP の最適なタイミングを明らかにしようと試みたが、決定することはできなかった。 しかし、今後の研究で 、有用な情報を提供できたと考えている。 今後の研究では、対照群と比較することにより、G1-DHP の特異的有効性 が明らかになるかもしれないし、 白血球表面抗原マーカーの分析により、有効性の根底にある機序についてさらなる洞察 が得られるかもしれない。
5 | Conclusions
G1-DHP 敗血症患者の顆粒球(主に好中球) を吸着除去した。 我々は、G1-DHP が、 敗血症に対する従来の治療に加えて安全に使用できることを確認した。 異なる組み入れ基準および/または 治療プロトコルを用いたさらなる研究が必要である。








コメント