「Kt/Vは十分に足りているのに、なぜこの患者さんは亡くなってしまったのか――。」
透析現場にいると、誰しも一度はそう感じたことがあると思います。
確かにKt/Vは“透析効率”を示す代表的な指標ですが、それだけで患者の生命を語ることはできません。
そんな疑問に対して、日本透析医学会の全国23万人のデータを解析した結果、驚くべき事実が明らかになりました。
それは、「ダイアライザーの膜面積が、生存率を左右していた」ということ。
しかもKt/Vが同じであっても、膜面積の大きい患者ほど死亡リスクが低下していたのです。
いまやダイアライザーは“尿毒素除去のための道具”にとどまらず、
“予後を変える医療デバイス”として再評価されつつあります。
本稿では、Scientific Reports誌に掲載された最新論文
「Dialyzer surface area is a significant predictor of mortality in patients on hemodialysis」
をもとに、膜面積がもたらす透析の新しい価値を、臨床工学技士の視点で紐解いていきます。
では行きましょう!ダイアライザーの世界へようこそ!!
なぜ今、「ダイアライザー膜面積」が注目されるのか
「Kt/Vは1.4~1.6以上を目標に」。
これは透析医療における“合言葉”のような存在です。
でも――その数字を満たしても、なぜか予後が良くならない患者がいる。
筆者自身、透析室でその現実に何度も向き合ってきました。
Kt/Vは確かに小分子尿毒素(BUNなど)除去効率の優れた指標です。
しかし、生命予後に関与するのはそれだけではありません。
β₂ミクログロブリン(β₂MG)やα₁ミクログロブリンなどの中・大分子毒素、
そして蛋白結合尿毒素までは、Kt/Vでは語れないのです。
この“もう一つの透析効率”を形にしたのが、今回紹介する論文――
「Dialyzer surface area is a significant predictor of mortality in patients on hemodialysis」。
日本透析医学会 腎データレジストリ(JRDR)を使って行った、全国23万人規模の壮大なデータ解析です。
全国23万人データが示した「面積と寿命」の関係
この研究は、2010〜2013年に実施されたJSDT腎データレジストリ(JRDR)を解析したもの。
対象は234,638人の維持血液透析患者。
ダイアライザーの膜面積によって4群に分けられました。
| 群 | 膜面積 (m²) | 死亡リスク(補正後HR) |
|---|---|---|
| S群 | <1.5 | 1.15(↑) |
| M群 | =1.5 | 1.00(基準) |
| L群 | 1.6–1.9 | 0.89(↓) |
| XL群 | ≥2.0 | 0.75(↓↓) |

つまり――
Kt/Vが同じでも、膜面積が大きいほど生存率が高かった。
さらに傾向スコアマッチングで交絡を除いても、この傾向は不変。
面積の大きさそのものが予後を左右することが明らかになったのです。
🧩 なぜ膜面積が予後を改善するのか?
Super high-flux膜の真価
日本では200mL/min前後という比較的低い血流量で透析を行うため、膜性能と面積の両立が生命線になります。
特に“super high-flux(SHF)膜”は、β₂MG除去能が50mL/min以上と高く、内部濾過(internal filtration)によって中〜大分子尿毒素を物理的に押し出す力が強い。
これが結果的に、
- α₁-MGなどの高分子毒素、
- 蛋白結合尿毒素、
- そして炎症性サイトカイン
まで除去効率を高めていると考えられます。
栄養状態との関係
興味深いのは、低アルブミン・低BMIの患者ではこの効果が弱くなる点です。
つまり、“栄養状態が良いほど、大面積膜の恩恵を受けやすい”。
アルブミン3.5g/dL以上、BMI21以上なら、
積極的に2.0m²以上のダイアライザーを検討する価値があります。
日本の透析文化と、この研究の意味
日本の透析は「低血流×長時間透析」が特徴。
一方、欧米は「高血流×短時間透析」。
この違いが、膜面積の意義をより際立たせています。
血流を上げにくい日本の環境では、
“透析効率”を上げるには膜面積を拡げるしかない。
しかも、単にKt/Vを上げるよりも、
内部濾過量と中分子クリアランスを上げるほうが生存率に寄与する。
この結果は、
「日本型透析の最適化には膜面積が鍵になる」
という確かなエビデンスです。
現場への提案:ダイアライザーを「数字」で選ばない
ダイアライザーを選ぶとき、私たちはつい“型番”や“材質”に目を奪われがちです。
でも今回の研究が示したのは、
「同じKt/Vなら、面積の大きい方を選べ」という明確な方向性。
もちろん、低血圧や心機能低下のある患者では注意が必要です。
しかし、栄養状態が良く、透析時間を確保できる患者では、
2.0m²以上のsuper high-flux膜を積極的に採用することが予後改善につながるでしょう。
まとめ:「もう一つのKt/V」を意識しよう
Kt/Vが“透析の量”を示す指標なら、ダイアライザー膜面積は“透析の質”を物語る指標です。
透析室でフィルターを交換するとき、「面積」欄の数字に、少しだけ目を留めてください。
そこには、Kt/Vでは見えない“生命の余白”が隠れています。
「僕らが扱うフィルターは、ただの道具じゃない。
それは、患者さんの“未来の時間”を濾すものだ。」
あとがき
さて、皆さんいかがでしたでしょうか。
ここ最近、勉強会を聴講すると、この話題が良く出てくるため記事にさせていただきました。
ついつい個人的にもKt/Vばかりに目が行きがちですが、Kt/Vだけでなく、”透析の質”として、膜面積にもこれからは目を向けていきたいですね。
他にも執筆依頼は来ているのですが、中々記事に出来なくて申し訳ないな…と思いながら、このあとがきを書いています。
では今日はこの辺で。
まったね~。
翻訳全文
Dialyzer surface area is a significant predictor of mortality in patients on hemodialysis: a 3‑year nationwide cohort study
ダイアライザー膜面積は血液透析患者の死亡率を予測する重要な因子である:3年間の全国コホート研究
Masanori Abe, Ikuto Masakane, Atsushi Wada, Shigeru Nakai, Kosaku Nitta & Hidetomo Nakamoto
血液透析患者では、目標Kt/V値を1.4以上に設定し、高フラックス透析器の使用が推奨されている。 しかし、これらの患者における透析器表面積と 死亡率の関係に関する情報はほとんどない。本全国コホート研究では、日本透析医学会が2010年から2013年に収集したデータを分析し、この関係を明らかにすることを目的とした。血液透析患者234,638名を対象に、ダイアライザー表面積の四分位数に基づき以下のグループに分類した:S群(小、<1.5m²)M群(中、1.5m²)L群(大、1.6~<2.0m²)XL群 (超大型、2.0 m²以上)に分類した。各群と3年死亡率との関連をCox比例ハザードモデルを用いて評価し、傾向スコアマッチング分析を実施した。2013年末までに、透析患者53,836人(22.9%)が死亡した。ダイアライザーの表面積が大きいほど、死亡率は有意に低下した。ハザード比(95%信頼区間)は、S 群(1.15 [1.12–1.19]、P < 0.0001)で有意に高く、L 群(0.89 [0.87–0.92]、P < 0.0001)、XL群(0.75[0.72–0.78]、P<0.0001)では有意に低かった。複数の感度分析においても結果は堅牢であった。さらに、 傾向スコアマッチング後も有意性は維持された。ダイアライザーを用いた血液透析、 特に表面積の大きい超ハイフラックスダイアライザーは死亡率を低下させる可能性があり、 表面積が2.0m²以上であれば、 Kt/Vが同じ場合でも優位性が認められた。
透析を受けている末期腎疾患患者は、尿毒症性毒素の蓄積により罹患率と死亡率が上昇する。尿毒症性毒素は、分子量に応じて、低分子量(500 Da 未満、例:尿素)、中分子量(500 Da 以上、例:β2-ミクログロブリン [β2MG])、またはタンパク質結合型に分類される1,2。血液透析は、末期腎疾患患者における腎代替療法の主な治療法であり、その目的の一つは、十分な尿毒症性毒素の除去を達成することである。したがって、いくつかのガイドラインでは、透析量測定のためのKt/V値が推奨されている³⁻⁵。また、血清β₂MGレベルが高いほど、いくつかの交絡因子とは独立して全死因死亡率を予測することが示されている⁶、 欧州ベストプラクティスガイドラインでは β2MGを中分子量尿毒症性毒素のマーカーとして推奨し、 血液透析患者におけるその除去の必要性を強調している7。 日本透析医学会(JSDT)のガイドラインも、血清β2MGレベルの定期的なモニタリングと、血液透析前の最大レベルを30 mg/L未満に保つことを推奨している³。 尿毒症性毒素の除去率を高めるため、英国腎臓学会は高透析量ダイアライザーの使用と、週3回の透析を受ける患者に対しては最低12時間の透析時間を推奨している5。 さらに、腎臓疾患アウトカム品質イニシアチブ(KDOQI)および JSDT ガイドラインでは、血液透析 1 回あたりの尿素に対するシングルプール Kt/V(Kt/V)を 1.4、最低 Kt/V を 1.23 と評価した透析量を推奨している4。Kt/V は、血液または透析液の流量、ダイアライザーの表面積、および治療 時間を増加させることで高めることができる。治療時間と膜フラックスがKt/Vを決定するが、Kt/Vレベルが同じ場合でも、血液透析治療時間の延長は死亡リスクの低下と関連していることが判明している8。したがって、血液透析患者には Kt/V 以外の予後予測因子も存在する可能性がある。Kt/V、血液流量、治療時間と死亡率との関連はしばしば議論されてきたが、透析器表面積と死亡率との関連はこれまで調査されていない。日本では、2005 年より超高フラックスまたは高性能膜(HPM) ダイアライザーが使用されている。HPMダイアライザーは、高い水力透過性、特に分子量10~30 kDaの中分子量物質および尿毒症性毒素に対する高い溶質透過性、高い生体適合性、ならびにβ2MGクリアランス> 50 mL/min以上を有すると定義される。³⁻¹したがって、表面積の大きい超高通量ダイアライザーの使用を増やすことは、尿毒症性毒素の除去量増加と血液透析患者の予後改善に寄与する可能性がある。表面積の大きいダイアライザーの使用は、Kt/Vレベルに関わらず死亡リスクの低下にも寄与する可能性がある。本大規模レジストリ研究の目的は、日本における血液透析患者の臨床転帰に対するダイアライザー膜面積の影響を調査することである。
Methods
データソースと研究デザイン。本研究で分析した全データはJSDT腎データレジストリ(JRDR)から取得したもので、質問票による全国調査で収集された。そのデザインと方法は別報で報告済みである¹¹,¹²。 本研究は右打ち切り前向きのコホート研究デザインを採用し、2010年12月31日(ベースライン)13から2013年12月31日14までに収集されたJRDRデータを分析した。適格基準は、20歳以上、2010年末時点で日本で維持透析を受けていること、2010年から2013年までの3年間の追跡調査が可能であることでした。除外基準は、週3回未満または1日2時間未満の透析、臓器移植、腹膜透析、生年月日、透析開始時期、透析器表面積、または転帰に関するデータの欠落であった。 患者はダイアライザー表面積に基づき四分位群に分類された:S群(小、< 1.5 m2)、 M群 (中、1.5 m2)、 L群(大、1.6~< 2.0 m2未満)、 XL群(特大、2.0 m2以上)に四分位分けした。 M群を基準群としたのは、1.5 m2の表面積を持つダイアライザーが日本で最も広く使用されているためである。
共変量および転帰データ。2010年にJRDRデータベースから収集したベースライン患者データおよび検査データには、年齢、性別、透析期間および透析法、体格指数(BMI;透析後の体重[kg]/身長[m]の二乗で算出)、末期腎疾患の原因、検査測定値(以下を含む)が含まれた。(BMI;血液透析後の体重[kg]/身長[m]²で算出)、末期腎疾患の原因、血液検査値(血液透析前ヘモグロビン、血清アルブミン、カルシウム、リン酸、i-PTH、β2MG、 C反応性蛋白(CRP)レベル、Kt/V、血液透析時間、正規化タンパク質異化率(nPCR)、および心筋梗塞、脳出血、脳梗塞、四肢切断の既往歴。超濾過率は、血液透析における体液除去率(mL/h/kg体重)と定義され、透析後の体重を分母として、治療時間当たりの体重変化に基づいて算出された。Kt/V および nPCR は、Shinzato の式15 を用いて計算した。簡略化クレアチニン指数(SCI)は、Canaud の式16 を用いて計算した。Kt/V、nPCR、および SCI を計算する式は、補足表 1 に示す。ダイアライザーは、β2MGクリアランスおよび限外濾過率に基づき、低、中、高、超高フラックスに分類した。ダイアライザーフラックスタイプの定義と分類は補足表2に示す。超高フラックスダイアライザーは、β2MGクリアランスが50 mL/min以上かつ超濾過速度が50 mL/h/mmHg以上と定義される。検査データの基準範囲を以下のように定義し、測定値が範囲外の場合を異常値とみなして解析から除外した:身長120–200 cm、体重20–150 kg、血清アルブミン1.0–5.0 g/dL、CRP < 30 mg/dL、ヘモグロビン5.0–20.0 g/dL、i-PTH<3000 pg/mL。主要評価項目は、3年間の観察期間における全死因死亡、心血管(CV)死亡、非CV死亡までの時間であった。追跡調査は、死亡、脱落、腎移植、または2013年12月31日のいずれか早い時点で終了した。CV死亡は、心不全、急性心筋梗塞、不整脈、弁膜症、くも膜下出血、脳出血、脳梗塞による死亡、または突然死と定義した。非心血管死は、感染症や悪性腫瘍を含む非心血管原因による死亡と定義した。
統計的方法。データは、平均値±標準偏差(SD)または中央値[四分位範囲]として要約した。カテゴリ変数の解析にはカイ二乗検定を用いた。連続変数の解析にはスチューデントのt検定を用いた。カテゴリデータは、反復測定分散分析とTukeyの正直有意差検定、またはKruskal-Wallis検定を適宜用いて群間で比較した。欠損した共変量データは、既存値の平均値または中央値のいずれかより適切な方によって補完した。
ベースライン時の人口統計学的データおよび検査データに基づく死亡率の予測因子の分析。死亡の潜在的な予測因子を評価するため、単変量Cox比例ハザード回帰分析を用いて、ベースライン時の基本因子(例:年齢、性別、末期腎疾患の原因、心血管合併症、透析期間)が最大3年間の追跡調査における生存を予測するかどうかを検討した。 血液透析期間のカテゴリーと死亡リスクの関係を検証するため、患者を血液透析期間に基づき事前に設定した5つのカテゴリー(<2年、2年以上<5年、5年以上<10年、10年以上<20年、20年以上)に分類した。また、Kt/V、β2MG レベル、限外濾過量、血液透析時間などの透析関連因子によって患者を分類した。Kt/V カテゴリーと死亡リスクの用量反応関係を調べるため、Kt/V に基づいて患者を 6 つの事前カテゴリー(1.0 未満および 1.8 以上、0.2 刻み)に分類しました。BMI、ヘモグロビン、血清アルブミン、nPCR、SCI、 および CRP レベルは、栄養および炎症関連因子として含まれた。血清アルブミンレベルおよびnPCRと死亡リスクの用量反応関係を調べるため、血清アルブミンレベル(< 3.0 未満および 4.5 以上、中間値は 0.5 刻み)、ならびに nPCR(0.6 未満および 1.2 以上、中間値は 0.2 刻み)に基づいて患者を 5 つのカテゴリーに事前に分類した。年齢、血液透析時間、限外濾過量、β2MG、BMI、ヘモグロビン、SCI、CRP レベルは連続変数として分析した。
ダイアライザー膜面積に基づく結果分析 全死因死亡率を検討するため、単変量Cox比例ハザード回帰分析で有意と認められた全ての予測因子を包含した、未調整および調整済み解析を実施した。ダイアライザー膜面積に基づく生存率はカプラン・マイヤー法で推定し、ログランク検定を用いて比較した。多変量Cox比例ハザード回帰分析を用いた生存分析により、ベースライン時の基本因子(例:年齢、性別、血液透析期間、心血管合併症)が最大3年間の追跡期間における生存を予測するかどうかを検討した。追加解析は、基本因子および透析関連因子(Kt/V、β2MGレベル、超濾過率、血液透析時間)の両方について調整して実施された。その後、基本因子、透析関連因子、栄養関連因子および炎症関連因子(例:BMI、ヘモグロビン値、アルブミン値、CRP値)を調整した上で、さらなる解析を実施した。 ダイアライザー膜面積に基づく全死因死亡率、心血管死、非心血管死の関連性を検討した。Mダイアライザーが最も広く使用されているため、M群を基準群とした。比例ハザード仮説の妥当性は、図示による検証と正式な統計的検定によって検討された。多重共線性は分散拡大係数(VIF)を用いて検討し、VIF < 5 の共変量を最終調整コックス比例ハザード回帰分析に用いた。主要な結果の頑健性を評価するため、いくつかの感度分析が実施された。 まず、年齢層別 サブグループ解析を、年齢68歳未満と≥68歳(中央値)で実施した。第二に、心血管疾患(CVD)の既往歴および糖尿病(DM)の状態に基づくサブグループ解析を実施した。これは、心機能障害のある患者では膜面積の大きいダイアライザーが使用されにくいこと、およびDM患者ではCVDの併存率が高いことを考慮したものである。第三に、BMIが21未満と21以上(中央値)によるサブグループ解析を実施した。第四に、血清β2MGおよびアルブミン濃度に基づく層別解析を実施した。第五に、ダイアライザーの4つのフラックスカテゴリー(低、中、高、および超高)について、それぞれ個別に分析を行った。 最後に、ダイアライザー膜面積がKt/Vと関連している可能性を考慮し、Kt/V四分位数に基づくサブグループ解析を実施した。また、Kt/V値とダイアライザー膜面積の乗法的相互作用項を作成し、ウォルド検定を用いて相互作用を評価することで、ダイアライザー膜面積と死亡率の関連性がKt/Vレベルによって異なるかどうかを検討した。ベースライン時の共変量における有意な差は、プロペンシティスコアマッチングにより調整された。プロペンシティスコア算出のための共変量は、血液透析開始前に取得された。各患者の傾向スコアを算出するため、ダイアライザー膜面積を従属変数とし、有意な予測因子を変数として多変量ロジスティック回帰分析を実施した後、ロジット変換を行った。年齢、性別、透析期間、併存する心血管疾患、糖尿病の有無、Kt/V、β2MG、ダイアライザーの種類、BMI、nPCR、SCI、および血清アルブミン、ヘモグロビン、リン酸塩、カルシウム、i-PTH、CRPレベルについて、傾向スコアが算出された。プロペンシティスコアは小数点以下14桁の精度で算出された。M群(参照群)の患者は他の群と1:1の比率でマッチングされた。2群の患者を1:1の比率でマッチングするには、各群の全患者のロジット値の標準偏差(SD)×0.2をキャリパー幅とする最接近利用可能マッチングを用いた。傾向スコアマッチングを行った患者群において全死因死亡率を比較した。全ての解析はJMPRバージョン13.0(SAS Institute Inc., Cary, NC)を用いて実施した。P値が0.05未満 の場合を統計学的に有意とみなした。
倫理審査。研究プロトコルはJSDT医学倫理委員会により承認され、ヘルシンキ宣言の原則、日本の個人情報保護法、および文部科学省・厚生労働省が2015年に公表した「ヒトを対象とする医学研究に関する倫理指針」に従って実施された。本解析では、個々の患者識別子を含まない既存データを使用し、データの匿名性を考慮してインフォームド・コンセントの取得は免除された。本研究は大学病院医療情報ネットワーク(UMIN000018641)に登録されている。
結果
図1は、2010年末時点の291,234名の患者からなる元のデータセットからのデータ抽出プロセスを示している。除外後、分析対象として234,638名の患者が残った。表1は、これら234,638名の患者のベースライン特性を示している(年齢:65.5歳±12.4歳、男性:62.4%、 透析期間中央値6年)と、ダイアライザー膜面積データのない30,039例の患者群を示した。基礎疾患は、慢性糸球体腎炎が38.2%、糖尿病性腎症が36.5%、腎硬化症が8.5%、多発性嚢胞腎が3.4%、その他または不明が13.4%であった。観察期間中に、合計 53,836 件(22.9%)の死亡が記録され、その内訳は、心血管関連死 23,446 件、感染症関連死 10,755 件、癌関連死 5,243 件、その他 14,392 件であった。
血液透析患者234,638例における全死因死亡の予測因子。補足表3 は、死亡の潜在的予測因子として評価された変数のハザード比(HR)と95%信頼区間(CI)を示す。有意な基本予測因子としては、男性、高齢、透析期間の長期化、心血管疾患(CVD)の併存、糖尿病(DM)の存在が挙げられた。透析関連因子においては、Kt/V値が高いこと、β2MGレベルが低いこと、透析時間が長いことが、死亡リスクの低下と関連していた。栄養関連および炎症関連因子については、ヘモグロビン、血清アルブミン、BMI、nPCR、SCI 値の低下によって示される栄養状態の悪化は、炎症状態の悪化(CRP 値の上昇によって示される)と同様に、死亡リスクの上昇と関連していた。
ダイアライザー膜面積に基づく臨床的・人口統計学的特徴。表2は、ダイアライザー表面積に基づく患者の人口統計学的特徴と臨床的特徴を示している。ダイアライザー膜面積が小さい患者は、高齢で女性が多く、併存する心血管疾患(CVD)の割合が高く、 BMI、血清アルブミン、nPCR、SCI レベルが低かった。対照的に、より大きなダイアライザー膜面積を用いて治療を受けた患者は、年齢が若く、男性である割合が高く、CVD および DM の併存率も低く、BMI、β2MG、nPCR、SCI レベルが高かった。
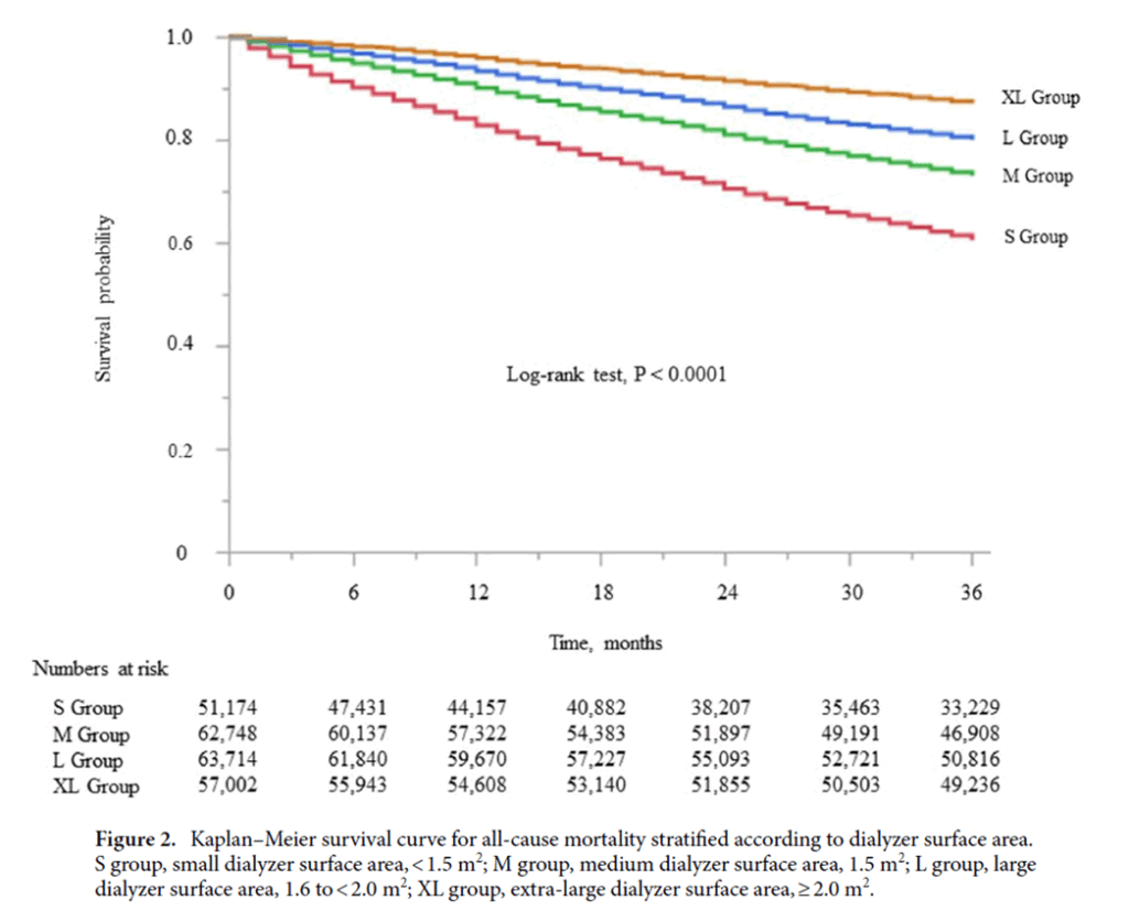
ダイアライザー膜面積と全死因死亡率との関連性。カプラン・マイヤー解析により、ダイアライザー膜面積の減少に伴い生存率が着実に低下することが示された(ログランク検定、P < 0.0001;図2)。M群(参照群)と比較して、S群では全死因死亡率の未調整ハザード比が高かった(1.61、信頼区間 1.57–1.65)。対照的に、L群およびXL群では全死因死亡率の未調整HRが低値を示した(それぞれ0.71、CI 0.69–0.72および0.44、CI 0.43–0.45;補足表4)。図3は各群における全死因死亡率の調整後HRを示す。年齢、性別、透析期間、心血管疾患(CVD)の既往歴、糖尿病(DM)の有無などの基本要因を調整後、LグループおよびXLグループのHRは、Mグループ(参照群)と比較して、それぞれ0.86(CI 0.84–0.88)および0.68(CI 0.66–0.70)であった。Kt/V、β2MG、超濾過量、血液透析時間、ダイアライザーの種類を含む基礎的および透析関連因子調整後、M群と比較したL群およびXL群のHRは、それぞれ0.86(CI 0.84–0.89)および0.70(CI 0.68–0.73)であった。最後に、基本因子、透析関連因子、栄養関連因子、炎症関連因子(BMI、ヘモグロビン、nPCR、SCI、血清アルブミンおよびCRPレベルを含む)を調整後、L群およびXL群は有意に低いHRを示した(それぞれ0.89、CI 0.87–0.92、 P < 0.0001および0.75 CI 0.72–0.78、P < 0.0001)。しかし、ハザード比(HR)は、S 群が M 群よりも一貫して有意に高かった(すべての交絡因子を調整後、HR 1.15、CI 1.12–1.19、P < 0.0001)。死因を心血管関連と非心血管関連に分類した場合、カプラン・マイヤー解析では、両群ともダイアライザー膜面積の減少に伴い生存率が着実に低下した(ログランク検定、いずれもP < 0.0001;補足図1および2)。M群(参照群)と比較して、S群では心血管死亡および非心血管死亡の両方について調整後ハザード比(95% CI)が高かった。対照的に、L群およびXL群では心血管死亡と非心血管死亡の両方について調整後ハザード比が低かった(補足表5および6)。感度分析でも同様の結果が得られた。全ての共変量を調整後、全年齢層、心血管疾患(CVD)、体格指数(BMI)、β2ミクログロブリン(β2MG)、血清アルブミン値にかかわらず、S群における全死因死亡リスクは高かった(図4および補足表7)。4つのダイアライザーフラックスカテゴリーにおける共変量調整後のダイアライザー膜面積と全死因死亡率の関係を検証した分析では、低フラックスダイアライザー群ではダイアライザー膜面積にかかわらず死亡率に有意差は認められなかった。しかし、中・高・超高フラックスダイアライザー群では、S群は調整後HRが有意に高く、XL群は調整後HRが有意に低かった(表3)。Cox比例ハザードモデルによる解析では、共変量を調整後、ダイアライザー膜面積とKt/Vの両方が全死因死亡率と有意かつ独立して関連していた。Kt/Vと死亡率の調整済み関連性はダイアライザー膜面積群間で異なった(相互作用P値=0.001)。ダイアライザー膜面積が小さいことは、Kt/V 1.26~1.58 と死亡率の関連性に有意な影響を与えなかった。対照的に、XL 群は Kt/V にかかわらず調整後死亡リスクが有意に低かった(図 5 および補足表 8)。
傾向スコアマッチング解析。M群の患者は、傾向スコアに基づき他の群の患者1:1の比率でマッチングされた。傾向スコアマッチング後、S群、L群、XL群においてそれぞれ7336組、8639組、5242組 の患者ペアがマッチングされた。表4は、M群およびプロペンシティスコアマッチング後の各対応群におけるベースライン時の患者特性 および臨床データを示す。 いずれの変数においても有意差は認められなかった。M群と比較して、S群では全死因死亡率のハザード比が有意に高かった(1.13、信頼区間 1.10–1.16、P < 0.0001)事を示した。一方、LおよびXLグループでは 有意に低いHR(0.92、CI 0.89–0.95 および 0.83、0.79 –0.87、いずれもP<0.0001;図6)を示した。
Discussion
本研究では、3年間にわたる234,638人の日本人血液透析患者の大規模レジストリデータを分析した結果、ダイアライザー膜面積と全死因死亡率の間に用量反応関係が認められた。ダイアライザー膜面積に基づく4群間の死亡率を、予測因子および傾向スコアマッチングで調整して比較したところ、同じKt/Vカテゴリー内でも、ダイアライザー膜面積が大きい群では全死因死亡のハザード比が有意に低かった。本研究の主な強みは、大規模なサンプルサイズと、日本で現在利用可能な全てのタイプのダイアライザーを含んでいる点である。本研究は、膜面積の大きいダイアライザーを使用することで死亡リスクが改善する可能性を示した初めての研究である。 これまで、大規模なランダム化比較試験である HEMO 研究では、低用量透析(Kt/V 値 1.32)と高用量透析(Kt/V 値 1.71)の患者間で死亡率に有意差は認められなかった17。透析量および低分子量物質のクリアランスの増加は、血液透析患者の転帰改善とは関連していないことが判明した。しかし、透析処方は、短い透析治療時間の中で高い効率を達成することを目標としていた。一方、透析アウトカムと実践パターン研究では、より長い透析治療時間とより高いKt/Vが、独立して死亡率の低下と関連していた。より長い治療時間は、あらゆるKt/Vレベルにおいて死亡率の低下と関連していた。さらに、より高い Kt/V レベルでは、より低い Kt/V レベルで同じ治療時間を行うよりも、より長い治療時間を行うことでさらに大きな効果が認められた。したがって、死亡率の低下という点では、Kt/V と治療時間には相乗的な関係があった。日本では、目標Kt/Vは治療時間の延長によって達成されるが、米国およびヨーロッパでは、血流量またはダイアライザー膜面積の増加によって達成される8。したがって、透析器表面積の増加は、日本の透析患者における死亡率のさらなる低下と関連している可能性がある。本研究では治療時間が 2 時間未満の患者は除外したが、ダイアライザー膜面積が大きいほど死亡リスクが低いという有意な関連性が認められた。血流速度とダイアライザー表面積は透析効率にとって重要な要素である。日本の血液透析患者は、血管アクセスとして 90% 以上が内シャントを使用しているため、他の国々の患者と比較して血流速度が著しく低い。 内シャントの使用は、人工血管や長期留置カテーテルよりも優れていることが示されている。血流速度の中央値は、日本が 200 mL/分、ヨーロッパ、オーストラリア、ニュージーランドが 300 mL/分、北米が 400 mL/分と、地域によって異なることが明らかになっている19。
しかし、血液 流量が高いことと、血液透析患者の死亡リスクが低いこととの間には、日本においても有意な関連性が認められている³。したがって、Kt/Vに基づく透析量の増加と予後改善との関連性が認められないことを踏まえると、血液透析患者の予後改善には、治療時間、血流速度、ダイアライザー膜面積のより包括的な評価が必要である。
日本における膜面積の小さいダイアライザーの使用は、他の国の患者と比較して日本の血液透析患者のBMIが著しく低いという事実を反映している可能性がある²⁰。 各国間のダイアライザー膜面積の比較は公表されていないが、平均面積は体表面積やBMIと関連している可能性がある。HEMO 研究では、患者の約 90% が 1.8~2.1 m2 の表面積のダイアライザーで治療を受けていました17。しかし、本研究では、BMIに関係なく、より大きな表面積のダイアライザーの方が優れていることがわかりました。日本の血液透析の処方は、血流速度が低く、ダイアライザー膜面積が1.8–2.1 m2 17と小さく、Kt/Vが低く、透析治療時間が長いという特徴がある。しかし、本研究では、BMIにかかわらず、より大きな表面積を持つダイアライザーが優れていることがわかった。さらに、日本では超高フラックス またはHPMダイアライザーがより頻繁に使用される傾向にある²¹。 最近では、β₂MGなどの中分子量毒素だけでなく、 α1-ミクログロブリン(α1-MG)やタンパク質結合性尿毒症毒素などの高分子毒素も除去対象となりつつあり、これにより予後改善が期待される22,23。 超高フラックスダイアライザーは、高フラックス透析器よりも細孔が大きく、低分子量タンパク質や少量のアルブミンを含む、小分子、 中分子、および高分子の除去が可能である24,25。 超高透析率ダイアライザーの最適な細孔サイズは、日本の標準的な血液透析手順である血流速度 200 mL/分、透析液流量 500 mL/分を使用した場合、1 回の透析で 3 g 以上のアルブミンが失われることを防ぐべきである3,24。我々の知見は、より大きなダイアライザー膜面積の重要性はKt/Vとは独立しており、またより大きな膜面積が特定のKt/Vの有益な効果をさらに増強し得ることを示唆している。超高フラックス ダイアライザーは膜面積に比例して中分子量、高分子量、およびタンパク質結合型 尿毒症毒素の除去率を向上させる可能性があるが、低フラックスダイアライザーは膜面積がより大きくても、そのような除去率を向上させられない可能性がある。 さらに、超高通量ダイアライザーの膜面積拡大に伴い内部濾過が増加し、中分子量から高分子量の溶質の除去量が増加する可能性がある26,27。 したがって、より大型のダイアライザーを耐容できる患者においては、膜面積がより大きい超高フラックスダイアライザーの使用は、血流速度やKt/Vが低い場合であっても、死亡率の低下に寄与する可能性がある。しかし、超高フラックスダイアライザーによる膜面積の拡大が、中分子物質やタンパク質結合型尿毒症毒素の除去量増加による予後改善と関連しているかどうかを確認するには、さらなる研究が必要である。なぜなら、我々はこれらの毒素のクリアランスを測定できなかったからである。 栄養不良と炎症も、透析患者の死亡率を予測する因子である28–30。本研究では、基礎的要因を調整した後、ダイアライザー膜面積が小さいほど死亡率が高く、膜面積が大きいほど死亡率が低いことが示された。この傾向は、透析量についてさらに調整した後も変化しなかった。これは、Kt/Vと死亡率の間に有意な関連性は認められなかったことを意味する。栄養関連因子および炎症関連因子でさらに調整した後、膜面積が小さい群では死亡率が低く、膜面積が大きい群では死亡率が高かった。この知見は、膜面積が小さい群における死亡リスクの上昇が栄養状態の悪化と関連し、膜面積が大きい群における死亡リスクの低下が良い栄養状態と関連していることを示唆している。したがって、栄養状態が良好な患者にはダイアライザー膜面積の拡大が推奨される。しかし、血清アルブミン値とBMIで層別化した場合、膜面積が大きい群では死亡率が有意に低かった。栄養不良の患者においても、より大きな表面積を持つダイアライザーの使用が有益であるかどうかを判断するには、さらなる研究が必要である。本研究にはいくつかの限界がある。第一に、ダイアライザー膜面積に関する情報が欠落していたため、潜在的な研究参加者の11.3%のデータを除外する必要があったことから、使用ダイアライザーの差異や施設間における診療方針・患者集団の違いによる死亡率の変動の結果として、ある程度の選択バイアスが生じた可能性がある。第二に、表面積の小さい群の患者は栄養状態が劣り、心血管疾患(CVD)の併存率が高く、低フラックスダイアライザーの使用率も高かったため、さらなる選択バイアスが生じた可能性がある。しかし、傾向スコアマッチング解析後においても、表面積の大きい透析器の優位性は確認された。第三に、ダイアライザー膜面積と死亡率の関連性には、未知または測定不能な交絡因子が影響した可能性がある。糖尿病(DM)および心血管疾患(CVD)以外の併存疾患、あるいは心不全、慢性閉塞性肺疾患、悪性腫瘍などのシャルソン併存疾患指数スコアに関するデータは収集できなかった。これらの管理されていない併存疾患は交絡因子となり得る。本研究は観察研究であり、因果関係を分析することはできなかったため、結果の解釈には注意が必要である。また、残存腎機能に関するデータも入手できなかった。しかし、2007 年の報告によると、日本の透析患者では、血液透析開始後の腎機能低下は 2.0 mL/min/年であり、透析開始時の平均推定糸球体濾過率は 6.5 mL/min/1.73 m2 であった31。したがって、本コホートにおける透析期間の中央値が 6 年であることを考慮すると、残存腎機能の影響はごくわずかであったと考えられる。さらに、交絡因子となりうる血圧に関するデータは取得できなかった。心機能障害による低血圧の患者には、表面積の小さい透析器の方が有益である可能性がある。予後を改善するため、血液透析患者では、タンパク質結合型尿毒症毒素やβ2MG、α1-MGなどの中分子物質の除去が現在目標とされている22,23,32。 中間分子量の物質の除去は、ダイアライザーの透過性と治療法の両方に依存する。したがって、より大きな膜面積を持つ超高フラックスダイアライザーは、Kt/Vでは評価できない中間分子量の物質の除去率向上に寄与する可能性がある。 結論として、本研究結果は血液透析患者におけるダイアライザー膜面積と死亡率の間に有意な関連性を示唆しており、より具体的には超高フラックスダイアライザーのより大きな表面積が有益である可能性を示している。これまで、ダイアライザー表面積はKt/Vの構成要素と考えられてきたため、この観点では考慮されてこなかった。しかし、血液透析患者の死亡リスクに対してKt/V値以上に寄与する可能性があるため、再考すべきである。超ハイフラックス透析器のより大きな膜面積が血液透析患者の転帰を改善するかどうかを判断するには、無作為化比較試験が必要である。








コメント